Data Simulator
Center Midway Corner
Signal Noise Ratio 175.52 182.60 163.07
Average Net Photon Count Rate (counts/s) 3435.00 ± 58.63 3650.69 ± 60.43 2888.95 ± 53.75
Background Photon Count Rate (counts/s) 1.00e+00 ± 1.00e+00 3.10e-01 ± 5.57e-01 5.00e-02 ± 2.24e-01

Quick Look

Center Midway Corner
Detector Image
One CMOS Chip
9.38°x9.38°
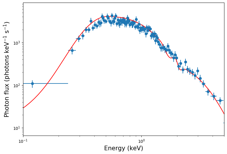
Spectrum
Light Curve

Input Summary

None
Anonymous
RA(J2000)
321.11
Dec(J2000)
41.31
Exposure
1 s
Spectral Model
powerlaw
Photon Index
2
Flux
1e-5 erg/s/cm²
Energy Range Low
0.5 keV
Energy Range High
4 keV
nH
3e+20 cm⁻²