Data Simulator
Center Midway Corner
Signal Noise Ratio 171.69 181.10 161.35
Average Net Photon Count Rate (counts/s) 3323.53 ± 57.68 3601.59 ± 60.02 2823.98 ± 53.14
Background Photon Count Rate (counts/s) 1.47e+00 ± 1.21e+00 4.10e-01 ± 6.40e-01 2.00e-02 ± 1.41e-01

Quick Look

Center Midway Corner
Detector Image
One CMOS Chip
9.38°x9.38°
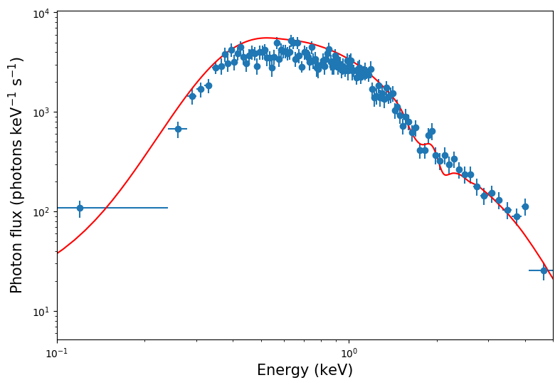
Spectrum
Light Curve

Input Summary

None
Anonymous
RA(J2000)
2.81
Dec(J2000)
2.91
Exposure
1 s
Spectral Model
powerlaw
Photon Index
2
Flux
1e-5 erg/s/cm²
Energy Range Low
0.5 keV
Energy Range High
4 keV
nH
3e+20 cm⁻²