Data Simulator
Center Midway Corner
Signal Noise Ratio 423.37 430.92 416.81
Average Net Photon Count Rate (counts/s) 22006.35 ± 148.65 21132.74 ± 145.46 19023.37 ± 137.94
Background Photon Count Rate (counts/s) 4.56e+01 ± 6.76e+00 1.23e+01 ± 3.50e+00 1.63e+00 ± 1.28e+00

Quick Look

Center Midway Corner
Detector Image
One CMOS Chip
9.38°x9.38°
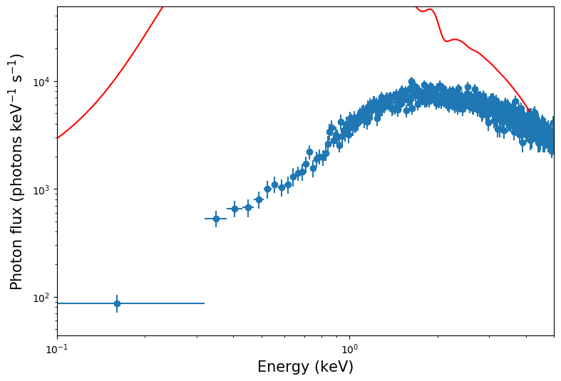
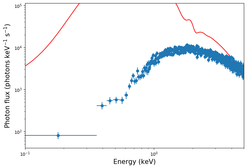
Spectrum
Light Curve

Input Summary

None
Anonymous
RA(J2000)
72.25
Dec(J2000)
15.7899
Exposure
1 s
Spectral Model
powerlaw
Photon Index
2
Flux
1e-3 erg/s/cm²
Energy Range Low
0.5 keV
Energy Range High
4 keV
nH
3e+20 cm⁻²