Data Simulator

Quick Look

Light Curve Detector Image
one CMOS chip, 9.38°x9.38°
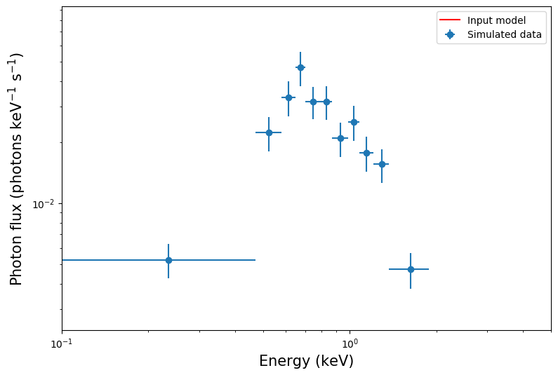
Spectrum

Total

Stacked

Stacked

Single Observation
Select a single observation:

Input Summary

None
nobu
RA(J2000)
244.979
Dec(J2000)
-15.64
Orbit
10
Spectral Model
powerlaw
Photon Index
2
Energy Range Low
0.5 keV
Energy Range High
4 keV
nH
3e+20 cm⁻²
Start Time
0
Lc Templates
constant source
Peak Flux
1e-30